pyfar.plot#

The following documents the pyfar plot functions. Make sure to have a look at the plotting and interactive plotting examples. The latter make use of the pyfar shortcuts to quickly explore acoustic signals.

Functions:

color(color)

Return pyfar default color as HEX string.

context([style, after_reset])

Context manager for using plot styles temporarily.

custom_subplots(signal, plots[, ax, style])

Plot multiple pyfar plots with a custom layout and default parameters.

freq(signal[, dB, log_prefix, ...])

Plot the magnitude spectrum.

freq_2d(signal[, dB, log_prefix, ...])

2D color coded plot of magnitude spectra.

freq_group_delay(signal[, dB, log_prefix, ...])

Plot the magnitude and group delay spectrum (2 by 1 subplot).

freq_group_delay_2d(signal[, dB, ...])

2D color coded plot of magnitude spectra and group delay (2 by 1 subplot).

freq_phase(signal[, dB, log_prefix, ...])

Plot the magnitude and phase spectrum (2 by 1 subplot).

freq_phase_2d(signal[, dB, log_prefix, ...])

2D color coded plot of magnitude and phase spectra (2 by 1 subplot).

group_delay(signal[, unit, freq_scale, ax, ...])

Plot the group delay.

group_delay_2d(signal[, unit, freq_scale, ...])

2D color coded plot of the group delay.

phase(signal[, deg, unwrap, freq_scale, ax, ...])

Plot the phase of the spectrum.

phase_2d(signal[, deg, unwrap, freq_scale, ...])

2D color coded plot of phase spectra.

plotstyle([style])

Get the fullpath of the pyfar plotstyles light or dark.

shortcuts([show, report, layout])

Show and return keyboard shortcuts for interactive figures.

spectrogram(signal[, dB, log_prefix, ...])

Plot blocks of the magnitude spectrum versus time.

time(signal[, dB, log_prefix, ...])

Plot the time signal.

time_2d(signal[, dB, log_prefix, ...])

2D color coded plot of time signals.

time_freq(signal[, dB_time, dB_freq, ...])

Plot the time signal and magnitude spectrum (2 by 1 subplot).

time_freq_2d(signal[, dB_time, dB_freq, ...])

2D color coded plot of time signals and magnitude spectra (2 by 1 subplot).

use([style])

Use plot style settings from a style specification.

pyfar.plot.color(color)[source]#

Return pyfar default color as HEX string.

Parameters:

color (int, str) –

The colors can be specified by their index, their full name, or the first letter. Available colors are:

1

'b'

blue

2

'r'

red

3

'y'

yellow

4

'p'

purple

5

'g'

green

6

't'

turquois

7

'o'

orange

8

'l'

light green

Returns:

color_hex – pyfar default color as HEX string

Return type:

str

pyfar.plot.context(style='light', after_reset=False)[source]#

Context manager for using plot styles temporarily.

This context manager supports the two pyfar styles light and dark. It is a wrapper for matplotlib.style.context.

Parameters:
  • style (str, dict, Path or list) –

    A style specification. Valid options are:

    str

    The name of a style or a path/URL to a style file. For a list of available style names, see matplotlib.style.available.

    dict

    Dictionary with valid key/value pairs for matplotlib.rcParams.

    Path

    A path-like object which is a path to a style file.

    list

    A list of style specifiers (str, Path or dict) applied from first to last in the list.

  • after_reset (bool) – If True, apply style after resetting settings to their defaults; otherwise, apply style on top of the current settings.

Examples

Generate customizable subplots with the default pyfar plot style

>>> import pyfar as pf
>>> import matplotlib.pyplot as plt
>>> with pf.plot.context():
>>>     fig, ax = plt.subplots(2, 1)
>>>     pf.plot.time(pf.Signal([0, 1, 0, -1], 44100), ax=ax[0])
pyfar.plot.custom_subplots(signal, plots, ax=None, style='light', **kwargs)[source]#

Plot multiple pyfar plots with a custom layout and default parameters.

The plots are passed as a list of pyfar.plot function handles. The subplot layout is taken from the shape of that list (see example below).

Parameters:
  • signal (Signal) – The input data to be plotted. Multidimensional data are flattened for plotting, e.g, a signal of signal.cshape = (2, 2) would be plotted in the order (0, 0), (0, 1), (1, 0), (1, 1).

  • plots (list, nested list) – Function handles for plotting.

  • ax (matplotlib.axes.Axes) – Axes to plot on. The default is None, which uses the current axis or creates a new figure if none exists.

  • style (str) – light or dark to use the pyfar plot styles or a plot style from matplotlib.style.available. Pass a dictionary to set specific plot parameters, for example style = {'axes.facecolor':'black'}. Pass an empty dictionary style = {} to use the currently active plotstyle. The default is light.

  • **kwargs – Keyword arguments that are passed to matplotlib.pyplot.plot.

Returns:

ax – List of axes handles

Return type:

list of matplotlib.axes.Axes

Examples

Generate a two by two subplot layout

>>> import pyfar as pf
>>> impulse = pf.signals.impulse(100, 10)
>>> plots = [[pf.plot.time, pf.plot.phase],
...          [pf.plot.freq, pf.plot.group_delay]]
>>> pf.plot.custom_subplots(impulse, plots)

(Source code, png, hires.png, pdf)

../_images/pyfar-plot-1.png
pyfar.plot.freq(signal, dB=True, log_prefix=None, log_reference=1, freq_scale='log', ax=None, style='light', side='right', **kwargs)[source]#

Plot the magnitude spectrum.

Plots abs(signal.freq) and passes keyword arguments (kwargs) to matplotlib.pyplot.plot.

Parameters:
  • signal (Signal, FrequencyData) – The input data to be plotted. Multidimensional data are flattened for plotting, e.g, a signal of signal.cshape = (2, 2) would be plotted in the order (0, 0), (0, 1), (1, 0), (1, 1).

  • dB (bool) – Indicate if the data should be plotted in dB in which case log_prefix * np.log10(abs(signal.freq) / log_reference) is used. The default is True.

  • log_prefix (integer, float) – Prefix for calculating the logarithmic frequency data. The default is None, so 10 is chosen if signal.fft_norm is 'power' or 'psd' and 20 otherwise.

  • log_reference (integer, float) – Reference for calculating the logarithmic frequency data. The default is 1.

  • freq_scale (str) – linear or log to plot on a linear or logarithmic frequency axis. The default is log.

  • ax (matplotlib.axes.Axes) – Axes to plot on. The default is None, which uses the current axis or creates a new figure if none exists.

  • style (str) – light or dark to use the pyfar plot styles or a plot style from matplotlib.style.available. Pass a dictionary to set specific plot parameters, for example style = {'axes.facecolor':'black'}. Pass an empty dictionary style = {} to use the currently active plotstyle. The default is light.

  • side (str, optional) – 'right' to plot the right-sided spectrum containing the positive frequencies, or 'left' to plot the left-sided spectrum containing the negative frequencies (only possible for complex Signals). The default is 'right'.

  • **kwargs – Keyword arguments that are passed to matplotlib.pyplot.plot.

Returns:

ax – Axes or array of axes containing the plot.

Return type:

matplotlib.axes.Axes

Example

>>> import pyfar as pf
>>> sine = pf.signals.sine(100, 4410)
>>> pf.plot.freq(sine)

(Source code, png, hires.png, pdf)

../_images/pyfar-plot-2.png
pyfar.plot.freq_2d(signal, dB=True, log_prefix=None, log_reference=1, freq_scale='log', indices=None, orientation='vertical', method='pcolormesh', colorbar=True, ax=None, style='light', side='right', **kwargs)[source]#

2D color coded plot of magnitude spectra.

Plots abs(signal.freq) and passes keyword arguments (kwargs) to matplotlib.pyplot.pcolormesh or matplotlib.pyplot.contourf.

Parameters:
  • signal (Signal, FrequencyData) – The input data to be plotted. signal.cshape must be (m, ) with m>1.

  • dB (bool) – Indicate if the data should be plotted in dB in which case log_prefix * np.log10(abs(signal.freq) / log_reference) is used. The default is True.

  • log_prefix (integer, float) – Prefix for calculating the logarithmic frequency data. The default is None, so 10 is chosen if signal.fft_norm is 'power' or 'psd' and 20 otherwise.

  • log_reference (integer, float) – Reference for calculating the logarithmic frequency data. The default is 1.

  • freq_scale (str) – linear or log to plot on a linear or logarithmic frequency axis. The default is log.

  • indices (array like, optional) – Points at which the channels of signal were sampled (e.g. azimuth angles or x values). indices must be monotonously increasing/ decreasing and have as many entries as signal has channels. The default is 'None' which labels the N channels in signal from 0 to N-1.

  • orientation (string, optional) –

    'vertical'

    The channels of signal will be plotted as as vertical lines.

    'horizontal'

    The channels of signal will be plotted as horizontal lines.

    The default is 'vertical'

  • method (string, optional) –

    The Matplotlib plotting method.

    'pcolormesh'

    Create a pseudocolor plot with a non-regular rectangular grid. The resolution of the data is clearly visible.

    'contourf'

    Create a filled contour plot. The data is smoothly interpolated, which might mask the data’s resolution.

    The default is 'pcolormesh'.

  • colorbar (bool, optional) – Control the colorbar. The default is True, which adds a colorbar to the plot. False omits the colorbar.

  • ax (matplotlib.axes.Axes) –

    Axes to plot on.

    None

    Use the current axis, or create a new axis (and figure) if there is none.

    ax

    If a single axis is passed, this is used for plotting. If colorbar is True the space for the colorbar is taken from this axis.

    [ax, ax]

    If a list or array of two axes is passed, the first is used to plot the data and the second to plot the colorbar. In this case colorbar must be True.

    The default is None.

  • style (str) – light or dark to use the pyfar plot styles or a plot style from matplotlib.style.available. Pass a dictionary to set specific plot parameters, for example style = {'axes.facecolor':'black'}. Pass an empty dictionary style = {} to use the currently active plotstyle. The default is light.

  • side (str, optional) – 'right' to plot the right-sided spectrum containing the positive frequencies, or 'left' to plot the left-sided spectrum containing the negative frequencies (only possible for complex Signals). The default is 'right'.

  • **kwargs – Keyword arguments that are passed to matplotlib.pyplot.pcolormesh or matplotlib.pyplot.contourf.

Returns:

  • ax (matplotlib.axes.Axes) – If colorbar is True an array of two axes is returned. The first is the axis on which the data is plotted, the second is the axis of the colorbar. If colorbar is False, only the axis on which the data is plotted is returned.

  • quad_mesh (QuadMesh, matplotlib.contour.QuadContourSet) – The Matplotlib QuadMesh / matplotlib.contour.QuadContourSet collection. This can be used to manipulate the way the data is displayed, e.g., by limiting the range of the colormap by quad_mesh.set_clim(). It can also be used to generate a colorbar by cb = fig.colorbar(quad_mesh, ...).

  • colorbar (Colorbar) – The Matplotlib colorbar object if colorbar is True and None otherwise. This can be used to control the appearance of the colorbar, e.g., the label can be set by colorbar.set_label().

Example

Plot a 25-channel impulse signal with different delays and amplitudes.

>>> import pyfar as pf
>>> import numpy as np
>>> impulses = pf.signals.impulse(
...     2048, np.arange(0, 25), np.linspace(1, .5, 25))
>>> pf.plot.freq_2d(impulses, dB=False)

(Source code, png, hires.png, pdf)

../_images/pyfar-plot-3.png
pyfar.plot.freq_group_delay(signal, dB=True, log_prefix=None, log_reference=1, unit='s', freq_scale='log', ax=None, style='light', side='right', **kwargs)[source]#

Plot the magnitude and group delay spectrum (2 by 1 subplot).

Plots abs(signal.freq) and pyfar.dsp.group_delay(signal.freq) and passes keyword arguments (kwargs) to matplotlib.pyplot.plot.

Parameters:
  • signal (Signal) – The input data to be plotted. Multidimensional data are flattened for plotting, e.g, a signal of signal.cshape = (2, 2) would be plotted in the order (0, 0), (0, 1), (1, 0), (1, 1).

  • dB (bool) – Flag to plot the logarithmic magnitude spectrum. The default is True.

  • log_prefix (integer, float) – Prefix for calculating the logarithmic frequency data. The default is None, so 10 is chosen if signal.fft_norm is 'power' or 'psd' and 20 otherwise.

  • log_reference (integer) – Reference for calculating the logarithmic frequency data. The default is 1.

  • unit (str, None) –

    Set the unit of the time axis.

    's' (default)

    seconds

    'ms'

    milliseconds

    'mus'

    microseconds

    'samples'

    samples

    'auto'

    Use seconds, milliseconds, or microseconds depending on the length of the data.

  • freq_scale (str) – linear or log to plot on a linear or logarithmic frequency axis. The default is log.

  • ax (matplotlib.axes.Axes) – Array or list with two axes to plot on. The default is None, which uses the current axis or creates a new figure if none exists.

  • style (str) – light or dark to use the pyfar plot styles or a plot style from matplotlib.style.available. Pass a dictionary to set specific plot parameters, for example style = {'axes.facecolor':'black'}. Pass an empty dictionary style = {} to use the currently active plotstyle. The default is light.

  • side (str, optional) – 'right' to plot the right-sided spectrum containing the positive frequencies, or 'left' to plot the left-sided spectrum containing the negative frequencies (only possible for complex Signals). The default is 'right'.

  • **kwargs – Keyword arguments that are passed to matplotlib.pyplot.plot.

Returns:

ax – Axes or array of axes containing the plot.

Return type:

matplotlib.axes.Axes

Examples

>>> import pyfar as pf
>>> impulse = pf.signals.impulse(100, 10)
>>> pf.plot.freq_group_delay(impulse, unit='samples')

(Source code, png, hires.png, pdf)

../_images/pyfar-plot-4.png
pyfar.plot.freq_group_delay_2d(signal, dB=True, log_prefix=None, log_reference=1, unit='s', freq_scale='log', indices=None, orientation='vertical', method='pcolormesh', colorbar=True, ax=None, style='light', side='right', **kwargs)[source]#

2D color coded plot of magnitude spectra and group delay (2 by 1 subplot).

Plots abs(signal.freq) and pyfar.dsp.group_delay(signal.freq) and passes keyword arguments (kwargs) to matplotlib.pyplot.pcolormesh or matplotlib.pyplot.contourf.

Parameters:
  • signal (Signal) – The input data to be plotted. signal.cshape must be (m, ) with m>1.

  • dB (bool) – Flag to plot the logarithmic magnitude spectrum. The default is True.

  • log_prefix (integer, float) – Prefix for calculating the logarithmic frequency data. The default is None, so 10 is chosen if signal.fft_norm is 'power' or 'psd' and 20 otherwise.

  • log_reference (integer) – Reference for calculating the logarithmic frequency data. The default is 1.

  • unit (str, None) –

    Set the unit of the time axis.

    's' (default)

    seconds

    'ms'

    milliseconds

    'mus'

    microseconds

    'samples'

    samples

    'auto'

    Use seconds, milliseconds, or microseconds depending on the length of the data.

  • freq_scale (str) – linear or log to plot on a linear or logarithmic frequency axis. The default is log.

  • indices (array like, optional) – Points at which the channels of signal were sampled (e.g. azimuth angles or x values). indices must be monotonously increasing/ decreasing and have as many entries as signal has channels. The default is 'None' which labels the N channels in signal from 0 to N-1.

  • orientation (string, optional) –

    'vertical'

    The channels of signal will be plotted as as vertical lines.

    'horizontal'

    The channels of signal will be plotted as horizontal lines.

    The default is 'vertical'

  • method (string, optional) –

    The Matplotlib plotting method.

    'pcolormesh'

    Create a pseudocolor plot with a non-regular rectangular grid. The resolution of the data is clearly visible.

    'contourf'

    Create a filled contour plot. The data is smoothly interpolated, which might mask the data’s resolution.

    The default is 'pcolormesh'.

  • colorbar (bool, optional) – Control the colorbar. The default is True, which adds a colorbar to the plot. False omits the colorbar.

  • ax (matplotlib.axes.Axes) –

    Axes to plot on.

    None

    Use the current axis, or create a new axis (and figure) if there is none.

    [ax, ax]

    Two axes to plot on. Space for the colorbar of each plot is taken from the provided axes.

    The default is None.

  • style (str) – light or dark to use the pyfar plot styles or a plot style from matplotlib.style.available. Pass a dictionary to set specific plot parameters, for example style = {'axes.facecolor':'black'}. Pass an empty dictionary style = {} to use the currently active plotstyle. The default is light.

  • side (str, optional) – 'right' to plot the right-sided spectrum containing the positive frequencies, or 'left' to plot the left-sided spectrum containing the negative frequencies (only possible for complex Signals). The default is 'right'.

  • **kwargs – Keyword arguments that are passed to matplotlib.pyplot.pcolormesh or matplotlib.pyplot.contourf.

Returns:

  • ax (matplotlib.axes.Axes) – If colorbar is True an array of four axes is returned. The first two are the axis on which the data is plotted, the last two are the axis of the colorbar. If colorbar is False, only the axes on which the data is plotted is returned.

  • quad_mesh (QuadMesh, matplotlib.contour.QuadContourSet) – The Matplotlib QuadMesh / matplotlib.contour.QuadContourSet collection. This can be used to manipulate the way the data is displayed, e.g., by limiting the range of the colormap by quad_mesh.set_clim(). It can also be used to generate a colorbar by cb = fig.colorbar(quad_mesh, ...).

  • colorbar (Colorbar) – The Matplotlib colorbar object if colorbar is True and None otherwise. This can be used to control the appearance of the colorbar, e.g., the label can be set by colorbar.set_label().

Examples

Plot a 25-channel impulse signal with different delays and amplitudes.

>>> import pyfar as pf
>>> import numpy as np
>>> impulses = pf.signals.impulse(
...     2048, np.arange(0, 25), np.linspace(1, .5, 25))
>>> pf.plot.freq_group_delay_2d(impulses, dB=False, unit="samples")

(Source code, png, hires.png, pdf)

../_images/pyfar-plot-5.png
pyfar.plot.freq_phase(signal, dB=True, log_prefix=None, log_reference=1, freq_scale='log', deg=False, unwrap=False, ax=None, style='light', side='right', **kwargs)[source]#

Plot the magnitude and phase spectrum (2 by 1 subplot).

Plots abs(signal.freq) and angle(signal.freq) and passes keyword arguments (kwargs) to matplotlib.pyplot.plot.

Parameters:
  • signal (Signal, FrequencyData) – The input data to be plotted. Multidimensional data are flattened for plotting, e.g, a signal of signal.cshape = (2, 2) would be plotted in the order (0, 0), (0, 1), (1, 0), (1, 1).

  • dB (bool) – Indicate if the data should be plotted in dB in which case log_prefix * np.log10(abs(signal.freq) / log_reference) is used. The default is True.

  • log_prefix (integer, float) – Prefix for calculating the logarithmic frequency data. The default is None, so 10 is chosen if signal.fft_norm is 'power' or 'psd' and 20 otherwise.

  • log_reference (integer) – Reference for calculating the logarithmic frequency data. The default is 1.

  • deg (bool) – Flag to plot the phase in degrees. The default is False.

  • unwrap (bool, str) – True to unwrap the phase or '360' to unwrap the phase to 2 pi. The default is False.

  • freq_scale (str) – linear or log to plot on a linear or logarithmic frequency axis. The default is log.

  • ax (matplotlib.axes.Axes) – Array or list with two axes to plot on. The default is None, which uses the current axis or creates a new figure if none exists.

  • style (str) – light or dark to use the pyfar plot styles or a plot style from matplotlib.style.available. Pass a dictionary to set specific plot parameters, for example style = {'axes.facecolor':'black'}. Pass an empty dictionary style = {} to use the currently active plotstyle. The default is light.

  • side (str, optional) – 'right' to plot the right-sided spectrum containing the positive frequencies, or 'left' to plot the left-sided spectrum containing the negative frequencies (only possible for complex Signals). The default is 'right'.

  • **kwargs – Keyword arguments that are forwarded to matplotlib.pyplot.plot

Returns:

ax – Axes or array of axes containing the plot.

Return type:

matplotlib.axes.Axes

Examples

>>> import pyfar as pf
>>> impulse = pf.signals.impulse(100, 10)
>>> pf.plot.freq_phase(impulse, unwrap=True)

(Source code, png, hires.png, pdf)

../_images/pyfar-plot-6.png
pyfar.plot.freq_phase_2d(signal, dB=True, log_prefix=None, log_reference=1, freq_scale='log', deg=False, unwrap=False, indices=None, orientation='vertical', method='pcolormesh', colorbar=True, ax=None, style='light', side='right', **kwargs)[source]#

2D color coded plot of magnitude and phase spectra (2 by 1 subplot).

Plots abs(signal.freq) and angle(signal.freq) and passes keyword arguments (kwargs) to matplotlib.pyplot.pcolormesh or matplotlib.pyplot.contourf.

Parameters:
  • signal (Signal, FrequencyData) – The input data to be plotted. signal.cshape must be (m, ) with m>1.

  • dB (bool) – Indicate if the data should be plotted in dB in which case log_prefix * np.log10(abs(signal.freq) / log_reference) is used. The default is True.

  • log_prefix (integer, float) – Prefix for calculating the logarithmic frequency data. The default is None, so 10 is chosen if signal.fft_norm is 'power' or 'psd' and 20 otherwise.

  • log_reference (integer) – Reference for calculating the logarithmic frequency data. The default is 1.

  • deg (bool) – Flag to plot the phase in degrees. The default is False.

  • unwrap (bool, str) – True to unwrap the phase or '360' to unwrap the phase to 2 pi. The default is False.

  • freq_scale (str) – linear or log to plot on a linear or logarithmic frequency axis. The default is log.

  • indices (array like, optional) – Points at which the channels of signal were sampled (e.g. azimuth angles or x values). indices must be monotonously increasing/ decreasing and have as many entries as signal has channels. The default is 'None' which labels the N channels in signal from 0 to N-1.

  • orientation (string, optional) –

    'vertical'

    The channels of signal will be plotted as as vertical lines.

    'horizontal'

    The channels of signal will be plotted as horizontal lines.

    The default is 'vertical'

  • method (string, optional) –

    The Matplotlib plotting method.

    'pcolormesh'

    Create a pseudocolor plot with a non-regular rectangular grid. The resolution of the data is clearly visible.

    'contourf'

    Create a filled contour plot. The data is smoothly interpolated, which might mask the data’s resolution.

    The default is 'pcolormesh'.

  • colorbar (bool, optional) – Control the colorbar. The default is True, which adds a colorbar to the plot. False omits the colorbar.

  • ax (matplotlib.axes.Axes) –

    Axes to plot on.

    None

    Use the current axis, or create a new axis (and figure) if there is none.

    [ax, ax]

    Two axes to plot on. Space for the colorbar of each plot is taken from the provided axes.

    The default is None.

  • style (str) – light or dark to use the pyfar plot styles or a plot style from matplotlib.style.available. Pass a dictionary to set specific plot parameters, for example style = {'axes.facecolor':'black'}. Pass an empty dictionary style = {} to use the currently active plotstyle. The default is light.

  • side (str, optional) – 'right' to plot the right-sided spectrum containing the positive frequencies, or 'left' to plot the left-sided spectrum containing the negative frequencies (only possible for complex Signals). The default is 'right'.

  • **kwargs – Keyword arguments that are passed to matplotlib.pyplot.pcolormesh or matplotlib.pyplot.contourf.

Returns:

  • ax (matplotlib.axes.Axes) – If colorbar is True an array of four axes is returned. The first two are the axis on which the data is plotted, the last two are the axis of the colorbar. If colorbar is False, only the axes on which the data is plotted is returned.

  • quad_mesh (QuadMesh, matplotlib.contour.QuadContourSet) – The Matplotlib QuadMesh / matplotlib.contour.QuadContourSet collection. This can be used to manipulate the way the data is displayed, e.g., by limiting the range of the colormap by quad_mesh.set_clim(). It can also be used to generate a colorbar by cb = fig.colorbar(quad_mesh, ...).

  • colorbar (Colorbar) – The Matplotlib colorbar object if colorbar is True and None otherwise. This can be used to control the appearance of the colorbar, e.g., the label can be set by colorbar.set_label().

Examples

Plot a 25-channel impulse signal with different delays and amplitudes.

>>> import pyfar as pf
>>> import numpy as np
>>> impulses = pf.signals.impulse(
...     2048, np.arange(0, 25), np.linspace(1, .5, 25))
>>> pf.plot.freq_phase_2d(impulses, dB=False, unwrap=True,
...                       freq_scale="linear")

(Source code, png, hires.png, pdf)

../_images/pyfar-plot-7.png
pyfar.plot.group_delay(signal, unit='s', freq_scale='log', ax=None, style='light', side='right', **kwargs)[source]#

Plot the group delay.

Plots pyfar.dsp.group_delay(signal.freq) and passes keyword arguments (kwargs) to matplotlib.pyplot.plot.

Parameters:
  • signal (Signal) – The input data to be plotted. Multidimensional data are flattened for plotting, e.g, a signal of signal.cshape = (2, 2) would be plotted in the order (0, 0), (0, 1), (1, 0), (1, 1).

  • unit (str, None) –

    Set the unit of the time axis.

    's' (default)

    seconds

    'ms'

    milliseconds

    'mus'

    microseconds

    'samples'

    samples

    'auto'

    Use seconds, milliseconds, or microseconds depending on the length of the data.

  • freq_scale (str) – linear or log to plot on a linear or logarithmic frequency axis. The default is log.

  • ax (matplotlib.axes.Axes) – Axes to plot on. The default is None, which uses the current axis or creates a new figure if none exists.

  • style (str) – light or dark to use the pyfar plot styles or a plot style from matplotlib.style.available. Pass a dictionary to set specific plot parameters, for example style = {'axes.facecolor':'black'}. Pass an empty dictionary style = {} to use the currently active plotstyle. The default is light.

  • side (str, optional) – 'right' to plot the right-sided spectrum containing the positive frequencies, or 'left' to plot the left-sided spectrum containing the negative frequencies (only possible for complex Signals). The default is 'right'.

  • **kwargs – Keyword arguments that are passed to matplotlib.pyplot.plot.

Returns:

ax – Axes or array of axes containing the plot.

Return type:

matplotlib.axes.Axes

Examples

>>> import pyfar as pf
>>> impulse = pf.signals.impulse(100, 10)
>>> pf.plot.group_delay(impulse, unit='samples')

(Source code, png, hires.png, pdf)

../_images/pyfar-plot-8.png
pyfar.plot.group_delay_2d(signal, unit='s', freq_scale='log', indices=None, orientation='vertical', method='pcolormesh', colorbar=True, ax=None, style='light', side='right', **kwargs)[source]#

2D color coded plot of the group delay.

Plots pyfar.dsp.group_delay(signal.freq) and passes keyword arguments (kwargs) to matplotlib.pyplot.pcolormesh or matplotlib.pyplot.contourf.

Parameters:
  • signal (Signal) – The input data to be plotted. signal.cshape must be (m, ) with m>1.

  • unit (str, None) –

    Set the unit of the time axis.

    's' (default)

    seconds

    'ms'

    milliseconds

    'mus'

    microseconds

    'samples'

    samples

    'auto'

    Use seconds, milliseconds, or microseconds depending on the length of the data.

  • freq_scale (str) – linear or log to plot on a linear or logarithmic frequency axis. The default is log.

  • indices (array like, optional) – Points at which the channels of signal were sampled (e.g. azimuth angles or x values). indices must be monotonously increasing/ decreasing and have as many entries as signal has channels. The default is 'None' which labels the N channels in signal from 0 to N-1.

  • orientation (string, optional) –

    'vertical'

    The channels of signal will be plotted as as vertical lines.

    'horizontal'

    The channels of signal will be plotted as horizontal lines.

    The default is 'vertical'

  • method (string, optional) –

    The Matplotlib plotting method.

    'pcolormesh'

    Create a pseudocolor plot with a non-regular rectangular grid. The resolution of the data is clearly visible.

    'contourf'

    Create a filled contour plot. The data is smoothly interpolated, which might mask the data’s resolution.

    The default is 'pcolormesh'.

  • colorbar (bool, optional) – Control the colorbar. The default is True, which adds a colorbar to the plot. False omits the colorbar.

  • ax (matplotlib.axes.Axes) –

    Axes to plot on.

    None

    Use the current axis, or create a new axis (and figure) if there is none.

    ax

    If a single axis is passed, this is used for plotting. If colorbar is True the space for the colorbar is taken from this axis.

    [ax, ax]

    If a list or array of two axes is passed, the first is used to plot the data and the second to plot the colorbar. In this case colorbar must be True.

    The default is None.

  • style (str) – light or dark to use the pyfar plot styles or a plot style from matplotlib.style.available. Pass a dictionary to set specific plot parameters, for example style = {'axes.facecolor':'black'}. Pass an empty dictionary style = {} to use the currently active plotstyle. The default is light.

  • side (str, optional) – 'right' to plot the right-sided spectrum containing the positive frequencies, or 'left' to plot the left-sided spectrum containing the negative frequencies (only possible for complex Signals). The default is 'right'.

  • **kwargs – Keyword arguments that are passed to matplotlib.pyplot.pcolormesh or matplotlib.pyplot.contourf.

Returns:

  • ax (matplotlib.axes.Axes) – If colorbar is True an array of four axes is returned. The first two are the axis on which the data is plotted, the last two are the axis of the colorbar. If colorbar is False, only the axes on which the data is plotted is returned.

  • quad_mesh (QuadMesh, matplotlib.contour.QuadContourSet) – The Matplotlib QuadMesh / matplotlib.contour.QuadContourSet collection. This can b used to manipulate the way the data is displayed, e.g., by limiting the range of the colormap by quad_mesh.set_clim(). It can also be used to generate a colorbar by cb = fig.colorbar(quad_mesh, ...).

  • colorbar (Colorbar) – The Matplotlib colorbar object if colorbar is True and None otherwise. This can be used to control the appearance of the colorbar, e.g., the label can be set by colorbar.set_label().

Example

Plot a 25-channel impulse signal with different delays and amplitudes.

>>> import pyfar as pf
>>> import numpy as np
>>> impulses = pf.signals.impulse(
...     2048, np.arange(0, 25), np.linspace(1, .5, 25))
>>> pf.plot.group_delay_2d(impulses, unit="samples")

(Source code, png, hires.png, pdf)

../_images/pyfar-plot-9.png
pyfar.plot.phase(signal, deg=False, unwrap=False, freq_scale='log', ax=None, style='light', side='right', **kwargs)[source]#

Plot the phase of the spectrum.

Plots angle(signal.freq) and passes keyword arguments (kwargs) to matplotlib.pyplot.plot.

Parameters:
  • signal (Signal, FrequencyData) – The input data to be plotted. Multidimensional data are flattened for plotting, e.g, a signal of signal.cshape = (2, 2) would be plotted in the order (0, 0), (0, 1), (1, 0), (1, 1).

  • deg (bool) – Plot the phase in degrees. The default is False, which plots the phase in radians.

  • unwrap (bool, str) – True to unwrap the phase or '360' to unwrap the phase to 2 pi. The default is False, which plots the wrapped phase.

  • freq_scale (str) – linear or log to plot on a linear or logarithmic frequency axis. The default is log.

  • ax (matplotlib.axes.Axes) – Axes to plot on. The default is None, which uses the current axis or creates a new figure if none exists.

  • style (str) – light or dark to use the pyfar plot styles or a plot style from matplotlib.style.available. Pass a dictionary to set specific plot parameters, for example style = {'axes.facecolor':'black'}. Pass an empty dictionary style = {} to use the currently active plotstyle. The default is light.

  • side (str, optional) – 'right' to plot the right-sided spectrum containing the positive frequencies, or 'left' to plot the left-sided spectrum containing the negative frequencies (only possible for complex Signals). The default is 'right'.

  • **kwargs – Keyword arguments that are passed to matplotlib.pyplot.plot.

Returns:

ax – Axes or array of axes containing the plot.

Return type:

matplotlib.axes.Axes

Example

>>> import pyfar as pf
>>> impulse = pf.signals.impulse(100, 10)
>>> pf.plot.phase(impulse, unwrap=True)

(Source code, png, hires.png, pdf)

../_images/pyfar-plot-10.png
pyfar.plot.phase_2d(signal, deg=False, unwrap=False, freq_scale='log', indices=None, orientation='vertical', method='pcolormesh', colorbar=True, ax=None, style='light', side='right', **kwargs)[source]#

2D color coded plot of phase spectra.

Plots angle(signal.freq) and passes keyword arguments (kwargs) to matplotlib.pyplot.pcolormesh or matplotlib.pyplot.contourf.

Parameters:
  • signal (Signal, FrequencyData) – The input data to be plotted. signal.cshape must be (m, ) with m>1.

  • deg (bool) – Plot the phase in degrees. The default is False, which plots the phase in radians.

  • unwrap (bool, str) – True to unwrap the phase or '360' to unwrap the phase to 2 pi. The default is False, which plots the wrapped phase.

  • freq_scale (str) – linear or log to plot on a linear or logarithmic frequency axis. The default is log.

  • indices (array like, optional) – Points at which the channels of signal were sampled (e.g. azimuth angles or x values). indices must be monotonously increasing/ decreasing and have as many entries as signal has channels. The default is 'None' which labels the N channels in signal from 0 to N-1.

  • orientation (string, optional) –

    'vertical'

    The channels of signal will be plotted as as vertical lines.

    'horizontal'

    The channels of signal will be plotted as horizontal lines.

    The default is 'vertical'

  • method (string, optional) –

    The Matplotlib plotting method.

    'pcolormesh'

    Create a pseudocolor plot with a non-regular rectangular grid. The resolution of the data is clearly visible.

    'contourf'

    Create a filled contour plot. The data is smoothly interpolated, which might mask the data’s resolution.

    The default is 'pcolormesh'.

  • colorbar (bool, optional) – Control the colorbar. The default is True, which adds a colorbar to the plot. False omits the colorbar.

  • ax (matplotlib.axes.Axes) –

    Axes to plot on.

    None

    Use the current axis, or create a new axis (and figure) if there is none.

    ax

    If a single axis is passed, this is used for plotting. If colorbar is True the space for the colorbar is taken from this axis.

    [ax, ax]

    If a list or array of two axes is passed, the first is used to plot the data and the second to plot the colorbar. In this case colorbar must be True.

    The default is None.

  • style (str) – light or dark to use the pyfar plot styles or a plot style from matplotlib.style.available. Pass a dictionary to set specific plot parameters, for example style = {'axes.facecolor':'black'}. Pass an empty dictionary style = {} to use the currently active plotstyle. The default is light.

  • side (str, optional) – 'right' to plot the right-sided spectrum containing the positive frequencies, or 'left' to plot the left-sided spectrum containing the negative frequencies (only possible for complex Signals). The default is 'right'.

  • **kwargs – Keyword arguments that are passed to matplotlib.pyplot.pcolormesh or matplotlib.pyplot.contourf.

Returns:

  • ax (matplotlib.axes.Axes) – If colorbar is True an array of two axes is returned. The first is the axis on which the data is plotted, the second is the axis of the colorbar. If colorbar is False, only the axis on which the data is plotted is returned.

  • quad_mesh (QuadMesh, matplotlib.contour.QuadContourSet) – The Matplotlib QuadMesh / matplotlib.contour.QuadContourSet collection. This can be used to manipulate the way the data is displayed, e.g., by limiting the range of the colormap by quad_mesh.set_clim(). It can also be used to generate a colorbar by cb = fig.colorbar(quad_mesh, ...).

  • colorbar (Colorbar) – The Matplotlib colorbar object if colorbar is True and None otherwise. This can be used to control the appearance of the colorbar, e.g., the label can be set by colorbar.set_label().

Example

Plot a 25-channel impulse signal with different delays and amplitudes.

>>> import pyfar as pf
>>> import numpy as np
>>> impulses = pf.signals.impulse(
...     2048, np.arange(0, 25), np.linspace(1, .5, 25))
>>> pf.plot.phase_2d(impulses, unwrap=True, freq_scale="linear")

(Source code, png, hires.png, pdf)

../_images/pyfar-plot-11.png
pyfar.plot.plotstyle(style='light')[source]#

Get the fullpath of the pyfar plotstyles light or dark.

The plotstyles are defined by mplstyle files, which is Matplotlibs format to define styles. By default, pyfar uses the light plotstyle.

Parameters:

style (str) – light or dark

Returns:

style – Full path to the pyfar plotstyle.

Return type:

str

pyfar.plot.shortcuts(show=True, report=False, layout='console')[source]#

Show and return keyboard shortcuts for interactive figures.

Note that the shortcuts are only available if using an interactive Matplotlib backend

Use these shortcuts to toggle between plots

Key

Plot

1, shift+t

time

2, shift+f

freq

3, shift+p

phase

4, shift+g

group_delay

5, shift+s

spectrogram

6, ctrl+shift+t, ctrl+shift+f

time_freq

7, ctrl+shift+p

freq_phase

8, ctrl+shift+g

freq_group_delay

Note that not all plots are available for TimeData and FrequencyData objects as detailed in the plot module documentation.

Use these shortcuts to control the plot

Key

Action

left

move x-axis view to the left

right

move x-axis view to the right

up

move y-axis view upwards

down

y-axis view downwards

+, ctrl+shift+up

move colormap range up

-, ctrl+shift+down

move colormap range down

shift+right

zoom in x-axis

shift+left

zoom out x-axis

shift+up

zoom out y-axis

shift+down

zoom in y-axis

shift+plus, alt+shift+up

zoom colormap range in

shift+minus, alt+shift+down

zoom colormap range out

shift+x

toggle x-axis unit or scale (see below for more information)

shift+y

toggle y-axis unit or scale (see below for more information)

shift+c

toggle colormap unit (see below for more information)

shift+m

toggle display of complex audio data (real, imaginary, or absolute time data; left or right-sided spectrum)

shift+a

toggle between plotting all channels and plotting single channels

<

cycle between line and 2D plots

>

toggle between vertical and horizontal orientation of 2D plots

., ]

show next channel

,, [

show previous channel

Notes on plot controls

  • Moving and zooming the x and y axes is supported by all plots.

  • Moving and zooming the colormap is only supported by plots that have a colormap.

  • Toggling the x-axis, y-axis and colormap toggles between

    • linear and logarithmic axis scaling for frequency axes,

    • seconds, milliseconds, microseconds, and samples for time axes,

    • linear amplitude and amplitude in dB for axes showing amplitudes,

    • wrapped and unwrapped phase for axes showing phase phase information.

  • Toggling the x-axis style is supported by: time, freq, phase, group_delay, spectrogram, time_freq, freq_phase, freq_group_delay (and their 2d versions)

  • Toggling the y-axis style is supported by: time, freq, phase, group_delay, spectrogram, time_freq, freq_phase, freq_group_delay (and their 2d versions)

  • Toggling the colormap style is supported by all 2d plots

  • Toggling between line and 2D plots is not supported by: spectrogram

Parameters:
  • show (bool, optional) – Output the keyboard shortcuts to the default console. The default is True.

  • report (bool, optional) – Return the console output as a string. The default is False.

  • layout (str, optional) – Specify the layout of the output. 'console' for printing to console and 'sphinx' for generating sphinx readable output. The default is 'console'.

Returns:

  • short_cuts (dict) – Dictionary that contains all the shortcuts.

  • output (str, optional) – The console output as a string. Only returned if report is True.

pyfar.plot.spectrogram(signal, dB=True, log_prefix=None, log_reference=1, freq_scale='linear', unit='s', window='hann', window_length=1024, window_overlap_fct=0.5, colorbar=True, ax=None, style='light', side='right', **kwargs)[source]#

Plot blocks of the magnitude spectrum versus time.

Parameters:
  • signal (Signal) – The input data to be plotted. Multidimensional data are flattened for plotting, e.g, a signal of signal.cshape = (2, 2) would be plotted in the order (0, 0), (0, 1), (1, 0), (1, 1).

  • dB (bool) – Indicate if the data should be plotted in dB in which case log_prefix * np.log10(abs(signal.freq) / log_reference) is used. The default is True.

  • log_prefix (integer, float) – Prefix for calculating the logarithmic frequency data. The default is None, so 10 is chosen if signal.fft_norm is 'power' or 'psd' and 20 otherwise.

  • log_reference (integer) – Reference for calculating the logarithmic frequency data. The default is 1.

  • freq_scale (str) – linear or log to plot on a linear or logarithmic frequency axis. The default is linear.

  • unit (str, None) –

    Set the unit of the time axis.

    's' (default)

    seconds

    'ms'

    milliseconds

    'mus'

    microseconds

    'samples'

    samples

    'auto'

    Use seconds, milliseconds, or microseconds depending on the length of the data.

  • window (str) – Specifies the window that is applied to each block of the time data before applying the Fourier transform. The default is hann. See scipy.signal.get_window for a list of possible windows.

  • window_length (integer) – Specifies the window/block length in samples. The default is 1024.

  • window_overlap_fct (double) – Ratio of indices to overlap between blocks [0…1]. The default is 0.5, which would result in 512 samples overlap for a window length of 1024 samples.

  • colorbar (bool, optional) – Control the colorbar. The default is True, which adds a colorbar to the plot. False omits the colorbar.

  • ax (matplotlib.axes.Axes) –

    Axes to plot on.

    None

    Use the current axis, or create a new axis (and figure) if there is none.

    ax

    If a single axis is passed, this is used for plotting. If colorbar is True the space for the colorbar is taken from this axis.

    [ax, ax]

    If a list or array of two axes is passed, the first is used to plot the data and the second to plot the colorbar. In this case colorbar must be True.

    The default is None.

  • style (str) – light or dark to use the pyfar plot styles or a plot style from matplotlib.style.available. Pass a dictionary to set specific plot parameters, for example style = {'axes.facecolor':'black'}. Pass an empty dictionary style = {} to use the currently active plotstyle. The default is light.

  • side (str, optional) – 'right' to plot the right-sided spectrum containing the positive frequencies, or 'left' to plot the left-sided spectrum containing the negative frequencies (only possible for complex Signals). The default is 'right'.

  • **kwargs – Keyword arguments that are passed to matplotlib.pyplot.pcolormesh or matplotlib.pyplot.contourf.

Returns:

  • ax (matplotlib.axes.Axes) – If colorbar is True an array of two axes is returned. The first is the axis on which the data is plotted, the second is the axis of the colorbar. If colorbar is False, only the axis on which the data is plotted is returned.

  • quad_mesh (QuadMesh, matplotlib.contour.QuadContourSet) – The Matplotlib QuadMesh collection. This can be used to manipulate the way the data is displayed, e.g., by limiting the range of the colormap by quad_mesh.set_clim(). It can also be used to generate a colorbar by cb = fig.colorbar(quad_mesh, ...).

  • colorbar (Colorbar) – The Matplotlib colorbar object if colorbar is True and None otherwise. This can be used to control the appearance of the colorbar, e.g., the label can be set by colorbar.set_label().

Example

Plot the spectrogram of a linear sweep

>>> import pyfar as pf
>>> sweep = pf.signals.linear_sweep_time(2**14, [0, 22050])
>>> pf.plot.spectrogram(sweep, unit='ms')

(Source code, png, hires.png, pdf)

../_images/pyfar-plot-12.png
pyfar.plot.time(signal, dB=False, log_prefix=20, log_reference=1, unit='s', ax=None, style='light', mode='real', **kwargs)[source]#

Plot the time signal.

Plots signal.time and passes keyword arguments (kwargs) to matplotlib.pyplot.plot.

Parameters:
  • signal (Signal, TimeData) – The input data to be plotted. Multidimensional data are flattened for plotting, e.g, a signal of signal.cshape = (2, 2) would be plotted in the order (0, 0), (0, 1), (1, 0), (1, 1).

  • dB (bool) – Indicate if the data should be plotted in dB in which case log_prefix * np.log10(signal.time / log_reference) is used. The default is False.

  • log_prefix (integer, float) – Prefix for calculating the logarithmic time data. The default is 20.

  • log_reference (integer) – Reference for calculating the logarithmic time data. The default is 1.

  • unit (str, None) –

    Set the unit of the time axis.

    's' (default)

    seconds

    'ms'

    milliseconds

    'mus'

    microseconds

    'samples'

    samples

    'auto'

    Use seconds, milliseconds, or microseconds depending on the length of the data.

  • ax (matplotlib.axes.Axes) – Axes to plot on. The default is None, which uses the current axis or creates a new figure if none exists.

  • style (str) – light or dark to use the pyfar plot styles or a plot style from matplotlib.style.available. Pass a dictionary to set specific plot parameters, for example style = {'axes.facecolor':'black'}. Pass an empty dictionary style = {} to use the currently active plotstyle. The default is light.

  • mode (str, optional) – real, imag, or abs to specify if the real part, imaginary part or absolute value of the time data is plotted. 'imag' and 'abs'` can only be used for complex Signals. The default is real.

  • **kwargs – Keyword arguments that are passed to matplotlib.pyplot.plot.

Returns:

ax – Axes or array of axes containing the plot.

Return type:

matplotlib.axes.Axes

Examples

>>> import pyfar as pf
>>> sine = pf.signals.sine(100, 4410)
>>> pf.plot.time(sine, unit='ms')

(Source code, png, hires.png, pdf)

../_images/pyfar-plot-13.png
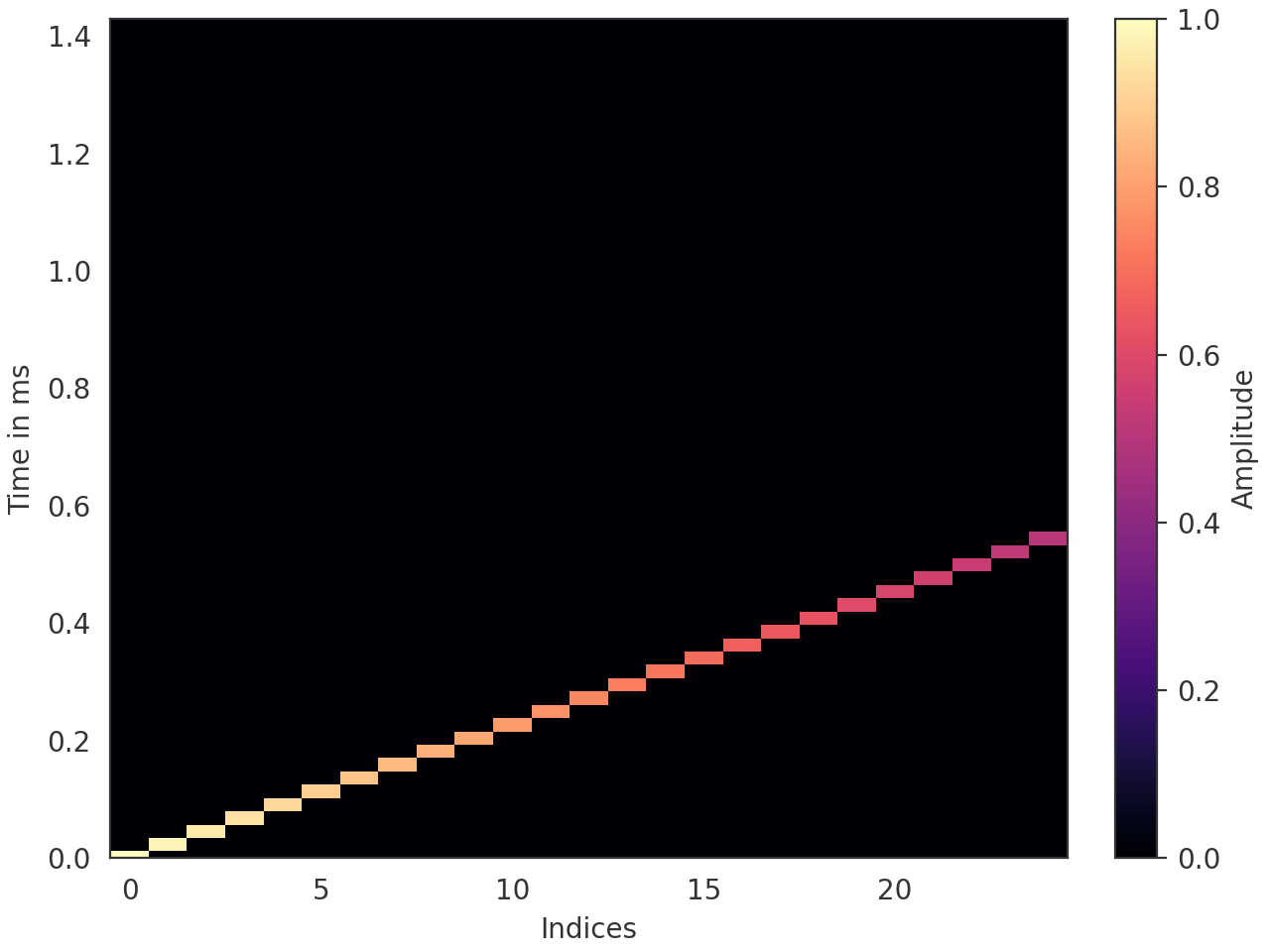
pyfar.plot.time_2d(signal, dB=False, log_prefix=None, log_reference=1, unit='s', indices=None, orientation='vertical', method='pcolormesh', colorbar=True, ax=None, style='light', mode='real', **kwargs)[source]#

2D color coded plot of time signals.

Plots signal.time and passes keyword arguments (kwargs) to matplotlib.pyplot.pcolormesh or matplotlib.pyplot.contourf.

Parameters:
  • signal (Signal, TimeData) – The input data to be plotted. signal.cshape must be (m, ) with m>1.

  • dB (bool) – Indicate if the data should be plotted in dB in which case log_prefix * np.log10(signal.time / log_reference) is used. The default is False.

  • log_prefix (integer, float) – Prefix for calculating the logarithmic frequency data. The default is None, so 10 is chosen if signal.fft_norm is 'power' or 'psd' and 20 otherwise.

  • log_reference (integer) – Reference for calculating the logarithmic time data. The default is 1.

  • unit (str, None) –

    Set the unit of the time axis.

    's' (default)

    seconds

    'ms'

    milliseconds

    'mus'

    microseconds

    'samples'

    samples

    'auto'

    Use seconds, milliseconds, or microseconds depending on the length of the data.

  • indices (array like, optional) – Points at which the channels of signal were sampled (e.g. azimuth angles or x values). indices must be monotonously increasing/ decreasing and have as many entries as signal has channels. The default is 'None' which labels the N channels in signal from 0 to N-1.

  • orientation (string, optional) –

    'vertical'

    The channels of signal will be plotted as as vertical lines.

    'horizontal'

    The channels of signal will be plotted as horizontal lines.

    The default is 'vertical'

  • method (string, optional) –

    The Matplotlib plotting method.

    'pcolormesh'

    Create a pseudocolor plot with a non-regular rectangular grid. The resolution of the data is clearly visible.

    'contourf'

    Create a filled contour plot. The data is smoothly interpolated, which might mask the data’s resolution.

    The default is 'pcolormesh'.

  • colorbar (bool, optional) – Control the colorbar. The default is True, which adds a colorbar to the plot. False omits the colorbar.

  • ax (matplotlib.axes.Axes) –

    Axes to plot on.

    None

    Use the current axis, or create a new axis (and figure) if there is none.

    ax

    If a single axis is passed, this is used for plotting. If colorbar is True the space for the colorbar is taken from this axis.

    [ax, ax]

    If a list or array of two axes is passed, the first is used to plot the data and the second to plot the colorbar. In this case colorbar must be True.

    The default is None.

  • style (str) – light or dark to use the pyfar plot styles or a plot style from matplotlib.style.available. Pass a dictionary to set specific plot parameters, for example style = {'axes.facecolor':'black'}. Pass an empty dictionary style = {} to use the currently active plotstyle. The default is light.

  • mode (str, optional) – real, imag, or abs to specify if the real part, imaginary part or absolute value of the time data is plotted. 'imag' and 'abs'` can only be used for complex Signals. The default is real.

  • **kwargs – Keyword arguments that are passed to matplotlib.pyplot.pcolormesh or matplotlib.pyplot.contourf.

Returns:

  • ax (matplotlib.axes.Axes) – If colorbar is True an array of two axes is returned. The first is the axis on which the data is plotted, the second is the axis of the colorbar. If colorbar is False, only the axis on which the data is plotted is returned.

  • quad_mesh (QuadMesh, matplotlib.contour.QuadContourSet) – The Matplotlib QuadMesh / matplotlib.contour.QuadContourSet collection. This can be used to manipulate the way the data is displayed, e.g., by limiting the range of the colormap by quad_mesh.set_clim(). It can also be used to generate a colorbar by cb = fig.colorbar(quad_mesh, ...).

  • colorbar (Colorbar) – The Matplotlib colorbar object if colorbar is True and None otherwise. This can be used to control the appearance of the colorbar, e.g., the label can be set by colorbar.set_label().

Examples

Plot a 25-channel impulse signal with different delays and amplitudes.

>>> import pyfar as pf
>>> import numpy as np
>>> impulses = pf.signals.impulse(
...     64, np.arange(0, 25), np.linspace(1, .5, 25))
>>> pf.plot.time_2d(impulses, unit='ms')

(Source code, png, hires.png, pdf)

../_images/pyfar-plot-14.png
pyfar.plot.time_freq(signal, dB_time=False, dB_freq=True, log_prefix_time=20, log_prefix_freq=None, log_reference=1, freq_scale='log', unit='s', ax=None, style='light', mode='real', side='right', **kwargs)[source]#

Plot the time signal and magnitude spectrum (2 by 1 subplot).

Plots signal.time and abs(signal.freq) passes keyword arguments (kwargs) to matplotlib.pyplot.plot.

Parameters:
  • signal (Signal) – The input data to be plotted. Multidimensional data are flattened for plotting, e.g, a signal of signal.cshape = (2, 2) would be plotted in the order (0, 0), (0, 1), (1, 0), (1, 1).

  • dB_time (bool) – Indicate if the data should be plotted in dB in which case log_prefix * np.log10(signal.time / log_reference) is used. The default is False.

  • dB_freq (bool) – Indicate if the data should be plotted in dB in which case log_prefix * np.log10(abs(signal.freq) / log_reference) is used. The default is True.

  • log_prefix_time (integer, float) – Prefix for calculating the logarithmic time data. The default is 20.

  • log_prefix_freq (integer, float) – Prefix for calculating the logarithmic frequency data. The default is None, so 10 is chosen if signal.fft_norm is 'power' or 'psd' and 20 otherwise.

  • log_reference (integer) – Reference for calculating the logarithmic time/frequency data. The default is 1.

  • freq_scale (str) – linear or log to plot on a linear or logarithmic frequency axis. The default is log.

  • unit (str, None) –

    Set the unit of the time axis.

    's' (default)

    seconds

    'ms'

    milliseconds

    'mus'

    microseconds

    'samples'

    samples

    'auto'

    Use seconds, milliseconds, or microseconds depending on the length of the data.

  • ax (matplotlib.axes.Axes) – Array or list with two axes to plot on. The default is None, which uses the current axis or creates a new figure if none exists.

  • style (str) – light or dark to use the pyfar plot styles or a plot style from matplotlib.style.available. Pass a dictionary to set specific plot parameters, for example

  • mode (str) – 'real', 'imag', or 'abs' to specify if the real part, imaginary part or absolute value of the time data is plotted. 'imag' and 'abs'` can only be used for complex Signals. The default is 'real'.

  • side (str, optional) – 'right' to plot the right-sided spectrum containing the positive frequencies, or 'left' to plot the left-sided spectrum containing the negative frequencies (only possible for complex Signals). The default is 'right'.

  • **kwargs – Keyword arguments that are passed to matplotlib.pyplot.plot.

Returns:

ax – Axes or array of axes containing the plot.

Return type:

matplotlib.axes.Axes

Examples

>>> import pyfar as pf
>>> sine = pf.signals.sine(100, 4410)
>>> pf.plot.time_freq(sine, unit='ms')

(Source code, png, hires.png, pdf)

../_images/pyfar-plot-15.png
pyfar.plot.time_freq_2d(signal, dB_time=False, dB_freq=True, log_prefix_time=20, log_prefix_freq=None, log_reference=1, freq_scale='log', unit='s', indices=None, orientation='vertical', method='pcolormesh', colorbar=True, ax=None, style='light', mode='real', side='right', **kwargs)[source]#

2D color coded plot of time signals and magnitude spectra (2 by 1 subplot).

Plots signal.time and abs(signal.freq) passes keyword arguments (kwargs) to matplotlib.pyplot.pcolormesh or matplotlib.pyplot.contourf.

Parameters:
  • signal (Signal) – The input data to be plotted. signal.cshape must be (m, ) with m>1.

  • dB_time (bool) – Indicate if the data should be plotted in dB in which case log_prefix * np.log10(signal.time / log_reference) is used. The default is False.

  • dB_freq (bool) – Indicate if the data should be plotted in dB in which case log_prefix * np.log10(abs(signal.freq) / log_reference) is used. The default is True.

  • log_prefix_time (integer, float) – Prefix for calculating the logarithmic time data. The default is 20.

  • log_prefix_freq (integer, float) – Prefix for calculating the logarithmic frequency data. The default is None, so 10 is chosen if signal.fft_norm is 'power' or 'psd' and 20 otherwise.

  • log_reference (integer) – Reference for calculating the logarithmic time/frequency data. The default is 1.

  • freq_scale (str) – linear or log to plot on a linear or logarithmic frequency axis. The default is log.

  • unit (str, None) –

    Set the unit of the time axis.

    's' (default)

    seconds

    'ms'

    milliseconds

    'mus'

    microseconds

    'samples'

    samples

    'auto'

    Use seconds, milliseconds, or microseconds depending on the length of the data.

  • indices (array like, optional) – Points at which the channels of signal were sampled (e.g. azimuth angles or x values). indices must be monotonously increasing/ decreasing and have as many entries as signal has channels. The default is 'None' which labels the N channels in signal from 0 to N-1.

  • orientation (string, optional) –

    'vertical'

    The channels of signal will be plotted as as vertical lines.

    'horizontal'

    The channels of signal will be plotted as horizontal lines.

    The default is 'vertical'

  • method (string, optional) –

    The Matplotlib plotting method.

    'pcolormesh'

    Create a pseudocolor plot with a non-regular rectangular grid. The resolution of the data is clearly visible.

    'contourf'

    Create a filled contour plot. The data is smoothly interpolated, which might mask the data’s resolution.

    The default is 'pcolormesh'.

  • colorbar (bool, optional) – Control the colorbar. The default is True, which adds a colorbar to the plot. False omits the colorbar.

  • ax (matplotlib.axes.Axes) –

    Axes to plot on.

    None

    Use the current axis, or create a new axis (and figure) if there is none.

    [ax, ax]

    Two axes to plot on. Space for the colorbar of each plot is taken from the provided axes.

    The default is None.

  • style (str) – light or dark to use the pyfar plot styles or a plot style from matplotlib.style.available. Pass a dictionary to set specific plot parameters, for example style = {'axes.facecolor':'black'}. Pass an empty dictionary style = {} to use the currently active plotstyle. The default is light.

  • mode (str) – real, imag, or abs to specify if the real part, imaginary part or absolute value of a complex-valued time domain signal is plotted. The default is real.

  • side (str, optional) – 'right' to plot the right-sided spectrum containing the positive frequencies, or 'left' to plot the left-sided spectrum containing the negative frequencies (only possible for complex Signals). The default is 'right'.

  • **kwargs – Keyword arguments that are passed to matplotlib.pyplot.pcolormesh or matplotlib.pyplot.contourf.

Returns:

  • ax (matplotlib.axes.Axes) – If colorbar is True an array of four axes is returned. The first two are the axis on which the data is plotted, the last two are the axis of the colorbar. If colorbar is False, only the axes on which the data is plotted is returned.

  • quad_mesh (QuadMesh, matplotlib.contour.QuadContourSet) – The Matplotlib QuadMesh / matplotlib.contour.QuadContourSet collection. This can be used to manipulate the way the data is displayed, e.g., by limiting the range of the colormap by quad_mesh.set_clim(). It can also be used to generate a colorbar by cb = fig.colorbar(quad_mesh, ...).

  • colorbar (Colorbar) – The Matplotlib colorbar object if colorbar is True and None otherwise. This can be used to control the appearance of the colorbar, e.g., the label can be set by colorbar.set_label().

Examples

Plot a 25-channel impulse signal with different delays and amplitudes.

>>> import pyfar as pf
>>> import numpy as np
>>> impulses = pf.signals.impulse(
...     64, np.arange(0, 25), np.linspace(1, .5, 25))
>>> pf.plot.time_freq_2d(impulses, dB_freq=False, unit='ms')

(Source code, png, hires.png, pdf)

../_images/pyfar-plot-16.png
pyfar.plot.use(style='light')[source]#

Use plot style settings from a style specification.

The style name of default is reserved for reverting back to the default style settings. This is a wrapper for matplotlib.style.use that supports the pyfar plot styles light and dark.

Parameters:

style (str, dict, Path or list) –

A style specification. Valid options are:

str

The name of a style or a path/URL to a style file. For a list of available style names, see matplotlib.style.available.

dict

Dictionary with valid key/value pairs for matplotlib.rcParams.

Path

A path-like object which is a path to a style file.

list

A list of style specifiers (str, Path or dict) applied from first to last in the list.

Notes

This updates the rcParams with the settings from the style. rcParams not defined in the style are kept.

Examples

Permanently use the pyfar default plot style

>>> import pyfar as pf
>>> import matplotlib.pyplot as plt
>>> pf.plot.utils.use()
>>> fig, ax = plt.subplots(2, 1)
>>> pf.plot.time(pf.Signal([0, 1, 0, -1], 44100), ax=ax[0])